This website requires JavaScript.
Explore
Help
Sign In
robin
/
Robin_PHD
Watch
1
Star
0
Fork
0
You've already forked Robin_PHD
Code
Issues
Pull Requests
Actions
Packages
Projects
Releases
Wiki
Activity
10c53fb2a3
Robin_PHD
/
symptom_abstraction
/
symptom_abstraction3.jpg
Robin
bf1f644698
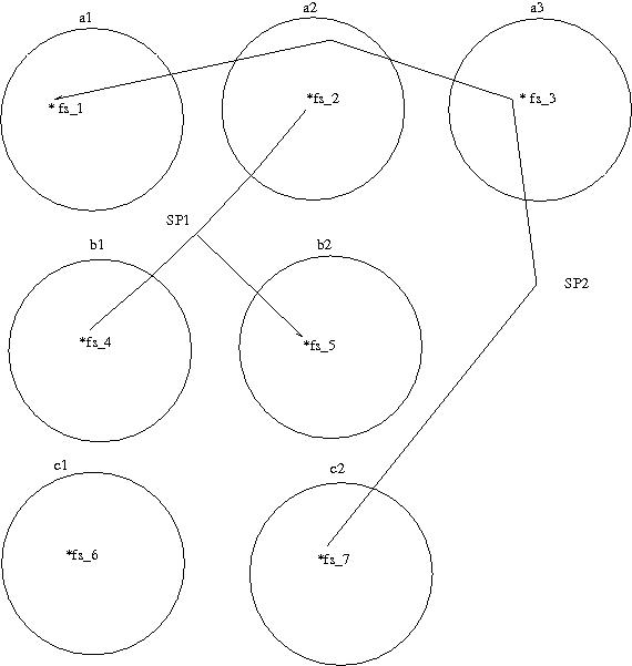
Added Symptom Abstraction. Note this needs removal of some set theory
...
maths from the algorithm section.
2010-01-15 20:16:06 +00:00
38 KiB
570x601px
Raw
History